My name is Humphery Ojo Osas, I’m an enthusiastic Data Scientist. I have a great euphoria for Exploratory Data Analysis and Machine Learning Engineering, I’m also proficient in Front-end web development. Let’s Deal!
Recent Projects
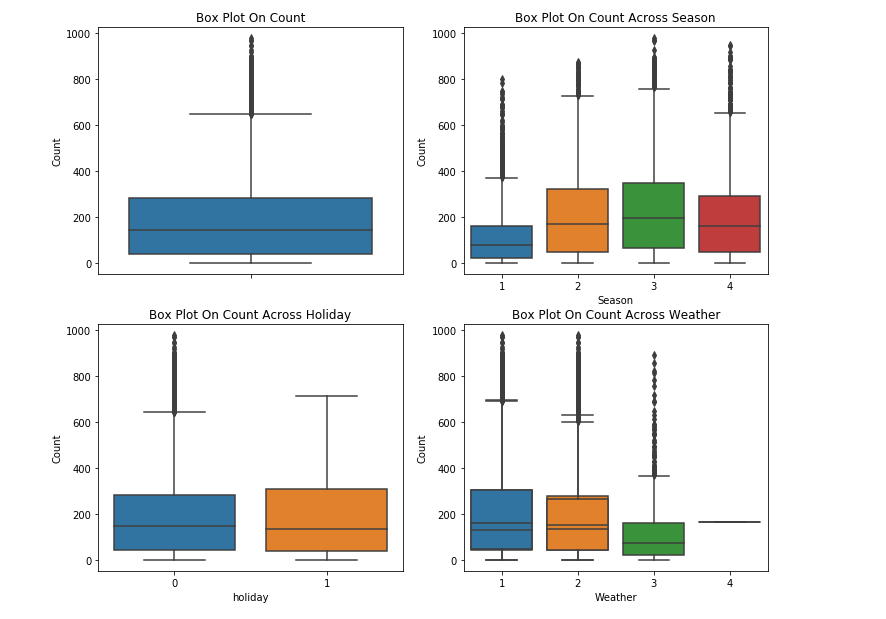
Project 1; Bike Sharing Demand Model
Data set from UCI Machine Learning Repository. It specifically focuses on forecasting the bike rental demand in the capital bikeshare program combining historical usage pattern with weather data. Then I Carried out series of exploration on the data set specifically a correlation heat map which showed the relationship between the weather data giving an indication of which attributes to drop during Modelling. Using a linear regression model from sklearn we got a mean squared error(MSE) of 0.
read more
Project 2; Red Wine Quality
First I got my data set from UCI Machine Learning Repository. The data set had 1599 entries with no missing values. Then I Carried out series of exploration on the data set. After several explorations, the physiochemical properties that increases the quality of red wine are; * Alcohol * Sulphates and * Citric Acid Then I used Machine Learning techniques to predict the quality of the wine. After series of testing with 3 different models in classification, random forest classification gave the best result with 0.
read more